關于電纜導體“標稱截面積”的解釋和分析
針對近來有關企業、用戶及檢測機構對電纜導體標稱截面積的檢測存在一定誤解,本文結合相關產品標準及規范要求,對電纜導體截面的概念、理解及考核等方面進行詳細闡述。
關于電纜導體“標稱截面積”的解釋與分析
一、引言
目前,部分用戶和檢測機構在電纜標稱截面積測量的理解上存在一些誤區,將標稱截面積理解為標準規定的截面積,采用幾何法測量導體的實際橫截面積并依此進行判定,導致部分符合產品標準要求的電線電纜在交貨抽檢時被判定不合格。例如用于電器電源線的普通聚氯乙烯軟線60227 IEC 53(RVV) 300/500V 3X0.75產品,標稱截面積為0.75 mm2,實測截面積為0.72 mm2,比標稱橫截面小了0.03 mm2,即使其導體電阻符合標稱截面積為0.75 mm2的產品標準要求,仍被誤判為不合格產品,最終在線纜及整機產品的銷售和驗收上,給企業和用戶方均帶來困擾和不良影響。為此,本文對電線電纜導體的標稱截面積進行解釋和說明,希望有助各方正確理解標稱截面積,減少誤解及誤判,并科學準確地運用電阻法來考核導體截面積。
二、關于電線電纜導體的截面
在電線電纜產品生產、設計使用到檢測檢驗全過程中,大家所關注的電線電纜導體截面有著多種的叫法和理解:標稱截面積、設計截面積和實際截面積,那么它們究竟是什么關系?
電線電纜導體的標稱截面積
所謂標稱值是指產品標準中指定的量值并經常用于表格之中,標稱值引申出的量值通常須在規定公差下通過測量進行檢驗。如果標準中沒有給定某標稱值的公差,那么此標稱值就無需考核和測量。在GB/T3956-2008《電纜的導體》中,對標稱截面積沒有給出公差,并定義為:“確定導體特定尺寸的數值,但并不受直接測量影響。(注:本標準中導體的每個特定尺寸應符合最大電阻值的要求)”。可見,導體的標稱截面積在產品標準中是用來表述電線電纜產品的規格,僅僅是此規格的代號或名稱,便于產品制造過程中的文件及生產管理。對于用戶和設計人員,標準為了便于選擇和指導生產及電氣設計,并不要求直接測量其實際截面,而是通過導體電阻值來進行衡量和考核。
電線電纜導體的設計截面積
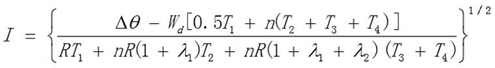
GB50411-2007《建筑節能工程施工質量驗收規范》第12.2.2條的內容如下:“低壓配電系統選擇的電纜、電線截面不得低于設計值,進場時應對其截面和每芯導體電阻值進行見證取樣送檢”,這里講的設計值指的就是設計截面積。在設計電線電纜采用多大規格時通常是依據電線電纜的載流量,一般采用如下公式計算:

式中,
I是導體流過的電流,即允許載流量(A);
R是導體在其最高工作溫度下的交流電阻(Ω);
Δθ是高于環境溫度的導體溫升(K);
Wd是一根導體絕緣單位長度的介質損耗(W/m);
T1是一根導體和金屬套之間單位長度熱阻(K.m/W);
T2是金屬套和鎧裝之間襯墊層單位長度熱阻(K.m/W);
T3是電纜外護層單位長度熱阻(K.m/W);
T4是電纜表面和周圍介質之間單位長度熱阻(K.m/W);
n是電纜中載有負荷的導體數(導體截面相等,負載相同);
λ1是電纜金屬套損耗相對于該電纜所有導體總損耗的比率;
λ2是電纜鎧裝損耗相對于該電纜所有導體總損耗的比率。
由上述公式可見,與電線電纜載流量I直接相關的變量是導體電阻R,并非導體的實際截面。同樣,在整機及電器附件產品標準的有關表格中,與額定電流值相對應的也通常是配線的標稱截面。所以說某一標稱截面下的導體電阻大小對應的截面也可稱電氣截面,即設計截面(設計值)。當考核電線電纜的設計截面或標稱截面時,均是考核它的電阻值,而不是測量它的實際截面值。
電線電纜導體的實際截面積
電線電纜導體的實際截面積指的是導體的幾何截面積。對于電線電纜生產制造者來講,某標稱截面的導體截面究竟設計多大才能滿足標準要求,不是指實際截面要大于等于標稱截面,而是指此標稱截面下的設計截面(電氣截面)要滿足標準要求,即直流電阻是否滿足標準要求,將此作為設計導體實際截面大小的依據。如果選擇的導電性能較高的導體材料,那么實際截面可以小一些,反之導體實際截面應大一些。當今隨著導體材料生產工藝的改進和科學技術進步,無氧銅材的先進生產工藝已經得到普遍應用,銅導體材料電阻率足以保證用小于標稱直徑銅絲能滿足對應規格直流電阻的要求,所以目前電纜行業中較普遍出現直流電阻合格,但線芯實際直徑小于標稱直徑或實際截面小于標稱截面的現象,這是符合產品標準要求的,也是符合節能節材的科學發展觀。
電線電纜產品是基礎配套性產品,用于各行各業,大的行業又按照行業要求制定了行業標準或國家標準,在這些標準中對電線電纜產品又給了一些規定,特別是對導體的要求,從標準化法角度看,這是正確的,但對于同一個產品在不同的標準中相同考核項目出現矛盾或不合理不科學時,應得到充分重視,特別是全國上下都在重視產品質量的大環境下,更應該注重產品的考核要求是否合理科學。例如:對于GB 50303-2002《建筑電氣工程施工質量驗收規范》標準第3.2.10條中第 3款的要求是“按制造標準,現場抽樣檢測絕緣層厚度和圓形線芯的直徑;線芯直徑誤差不大于標稱直徑的l%;常用的BV型絕緣電線的絕緣層厚度不小于表12(略)的規定”。對于此條款,“線芯直徑誤差不大于標稱直徑的l%”此句表述要求與相關電線電纜產品標準中的要求相矛盾,無論在GB/T5023-2008還是GB/T 3956-2008標準中對于第1種或第2種導體都不考核成品線纜導體中的單絲直徑,僅僅考核直流電阻和單絲根數。對于電線電纜的導體考核要求,還是要按GB/T3956的基礎標準要求執行。
三、電線電纜產品標準中對導體截面積的要求
目前電線電纜各大主流標準體系的產品標準均采取標稱截面積或規格代號來對應區分不同截面的導體。例如IEC標準(IEC60227、IEC60245、IEC60502等)、歐洲標準(EN50525等)和國家標準(GB/T5013、GB/T5023、GB/T12706等)采用標稱截面積(單位:平方毫米)作為不同截面導體規格的代號,美國標準(UL758、UL62 等)則采用AWG規格作為代號。其中,對于不同截面規格代號的考核均是通過導體電阻值來要求,而非實際測量導體截面積(注:UL 標準允許測量實際截面積,但采用導體電阻作為仲裁方法)。
在國家標準GB/T 5023-2008、GB/T 5013-2008和GB/T 12706-2008中,主要規定電纜導體符合GB/T3956的要求,主要考核有:軟導體的單線最大直徑和硬導體中單線最少根數符合GB/T3956的要求;導體在20℃時的電阻應符合GB/T3956的要求。
在GB/T3956中,導體共分四種:第1種(實心導體)、第2種(絞合導體)、第5種(軟導體)和第6種(比第5種更柔軟的導體)。其中,第1種和第2種導體用于固定敷設的電纜中(例如布電線、電力電纜等)。第5種和第6種導體用于軟電纜和軟線中(例如電源線、橡套電纜等),也可用于固定敷設。
在以上四種導體中,不同標稱截面積導體規格考核的20℃時最大導體電阻值如表1所示。可見,各個標稱截面積導體規格與其最大導體電阻值存在一一對應的關系。其中,對于同一標稱截面積導體,由于各個導體種類、材料和結構的不同以及鍍金屬層的影響,其考核的最大導體電阻值亦略有差異。

因此,對于電線電纜產品標準,只要導體能達到所聲稱的標稱截面積對應的最大電阻值要求,導體單線直徑或根數滿足標準要求即可判定合格。在近期給線纜質量安全敲響警鐘的奧凱問題電纜事件中,抽樣單位和承檢單位也正是對問題電纜的20℃導體直流電阻項目進行了檢測,并對照導體標稱截面積對應的電阻值進行判定,給出了不合格的結論,反映了電纜導體的截面虧方問題。
四、整機及電器附件中對電纜導體截面積的要求
目前,在主要的整機及電器附件產品標準中,如表2所示,引用的均為標稱截面積,應按照電線電纜產品標準中有關考核標稱截面積的方法即導體電阻來衡量。

值得一提的是,在2008年中國合格評定國家認可委員會(CNAS)組織的“電動工具產品安全檢查(CNAS T0409)”能力驗證工作中,其中有個項目就是:手電鉆產品電源線截面積的測量。當時有11個檢驗機構采用數學幾何法測量電源線截面積,結果判定錯誤,導致能力驗證結果不滿意,而正確的測試方法應是通過導體電阻測試的方法。
五、結束語
電線電纜作為上游配套產品廣泛應用于國民經濟的眾多產業和領域,也因此接受著來自各方的產品規范要求和質量管控。在線纜制造、流通、交貨驗收以及安裝使用的各個環節中,大力推行和正確使用線纜產品標準,顯得尤為重要。特別是對線纜質量安全性能直接相關的標稱截面積,生產企業、用戶方和檢測機構等有關方對相關標準的正確理解與運用,將有助于進一步規范線纜產品質量,促進產業上下游健康發展。
-
Q
柔性電纜與軟電纜是什么關系?
A柔性電纜,英文為Flexible cable,早期多用于進口電纜,而在我國的電工專業術語中,軟電纜的英文也為Flexible cable,可見柔性電纜與軟電纜屬于同一種電纜的兩種名稱。柔性電纜與軟電纜采用多股導體,具有一定的靈活性,用于固定安裝的場合。
-
Q
TRVV拖鏈電纜標準與RVV軟電纜標準一樣嗎?
A嚴格意義上來說,TRVV拖鏈電纜標準與RVV軟電纜標準不一樣,應高于RVV軟電纜標準。軟電纜RVV適用于固定安裝,拖鏈電纜TRVV不僅可用于固定安裝,更適用于移動使用。拖鏈電纜TRVV可看作軟電纜RVV的升級版,因此,軟電纜RVV國家標準也適用于拖鏈電纜TRVV,但僅滿足軟電纜國標的拖鏈電纜并不是好的拖鏈電纜。
※部分文章來源于互聯網及其他公眾平臺,內容僅供讀者參考,并不意味著贊同其觀點或證實其內容的準確性。如轉載稿件涉及版權等問題請告知,我們將在24小時內刪除!
本文標題:關于電纜導體“標稱截面積”的解釋和分析
下一篇:拖鏈走線有哪些要求
- RVV電纜和BVV電纜的區別2024-07-11
- 中國國家標準化管理委員會(SAC)2024-01-16
- 哪些設備用到拖鏈電纜2024-03-15
- 拖鏈軟電纜是指拖鏈電纜越軟越好嗎2019-09-06
- 柔性電纜和硬電纜的區別2019-03-06
- 海關聯盟CU-TR認證及EAC認證2024-01-31
- 柔性線纜和普通電纜RVV的區別有哪些2022-07-27
- 美國材料與試驗協會(ASTM)2024-01-22


